• 网站首页
    1. 新闻动态
  • 学院概况
    1. 学院简介
    2. 现任领导
    3. 机构设置
    4. 学习环境
  • 党群工作
    1. 党建工作
    2. 工会工作
  • 师资队伍
  • 本科生教育
    1. 教学动态
    2. 本科专业
    3. 教学成果
  • 研究生教育
    1. 教育动态
    2. 导师简介
    3. 招生信息
  • 学科科研
    1. 学术动态
    2. 平台团队
    3. 成果展示
  • 学生工作
    1. 团学动态
    2. 学生风采
    3. 学工队伍
  • 就业创业
    1. 工作动态
    2. 实践基地
网站首页
学院概况
学院简介 现任领导 机构设置 学习环境
党群工作
党建工作 工会工作
师资队伍
本科生教育
教学动态 本科专业 教学成果
研究生教育
教育动态 导师简介 招生信息
学科科研
学术动态 平台团队 成果展示
学生工作
团学动态 学生风采 学工队伍
就业创业
工作动态 实践基地
CLOSE
  • 网站首页
    • 新闻动态
  • 学院概况
    • 学院简介
    • 现任领导
    • 机构设置
    • 学习环境
  • 党群工作
    • 党建工作
    • 工会工作
  • 师资队伍
  • 本科生教育
    • 教学动态
    • 本科专业
    • 教学成果
  • 研究生教育
    • 教育动态
    • 导师简介
    • 招生信息
  • 学科科研
    • 学术动态
    • 平台团队
    • 成果展示
  • 学生工作
    • 团学动态
    • 学生风采
    • 学工队伍
  • 就业创业
    • 工作动态
    • 实践基地
通知公告
网站首页 > 通知公告 > 通知公告 > 正文
通知公告
活动预告

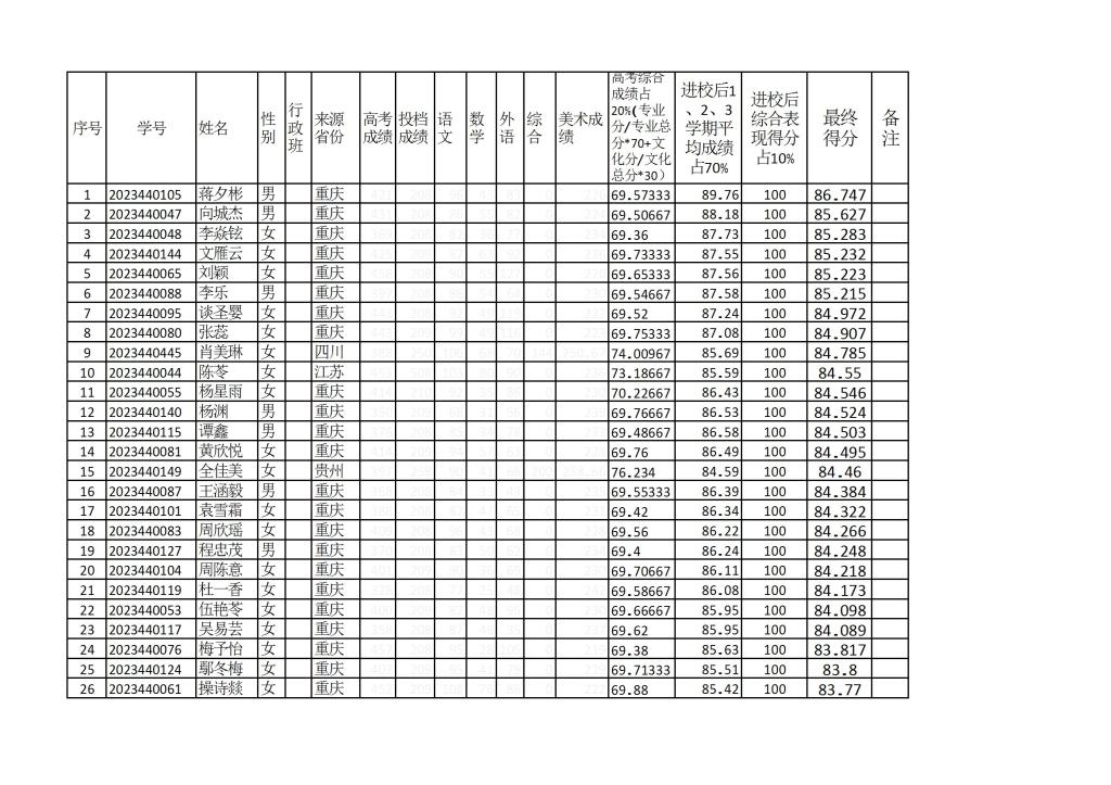
2023级设计学大类专业分流学生综合成绩公示

发布时间:2025-04-24
作者:
来源:






上一篇:
设计与人文学院关于2023级设计学大类各专业拟录取名单的公示
下一篇:
2025年硕士研究生招生复试安排 (调剂第一批)

电话:65022289

传真:65022289

地址:重庆沙坪坝区大学城东路20号博闻楼

学校主页
智慧校园
教务处
研究生院
科技处
学工部
图书馆
重庆科技大学 中央美术学院 清华大学 中国美术学院 江南大学
扫码关注官方公众号

版权所有:重庆科技大学 渝ICP备13000511号-1 渝公网安备 50009802000806号